Internet History of 1960s

1962

At MIT, a wide variety of computer experiments are going on. Ivan Sutherland uses the TX-2 to write Sketchpad, the origin of graphical programs for computer-aided design.

J.C.R. Licklider writes memos about his Intergalactic Network concept, where everyone on the globe is interconnected and can access programs and data at any site from anywhere. He is talking to his own ‘Intergalactic Network’ of researchers across the country. In October, ‘Lick’ becomes the first head of the computer research program at ARPA, which he calls the Information Processing Techniques Office (IPTO).

Leonard Kleinrock completes his doctoral dissertation at MIT on queuing theory in communication networks, and becomes an assistant professor at UCLA.

The SAGE (Semi Automatic Ground Environment), based on earlier work at MIT and IBM, is fully deployed as the North American early warning system. Operators of ‘weapons directing consoles’ use a light gun to identify moving objects that show up on their radar screens. SAGE sites are used to direct air defense. This project provides experience in the development of the SABRE air travel reservation system and later air traffic control systems.

1963

Licklider starts to talk with Larry Roberts of Lincoln Labs, director of the TX-2 project, Ivan Sutherland, a computer graphics expert whom he has hired to work at ARPA and Bob Taylor, who joins ARPA in 1965. Lick contracts with MIT, UCLA, and BBN to start work on his vision.

Syncom, the first synchronous communication satellite, is launched. NASA’s satellite is assembled in the Hughes Aircraft Company’s facility in Culver City, California. Total payload is 55 pounds.

A joint industry-government committee develops ASCII (American Standard Code for Information Interchange), the first universal standard for computers. It permits machines from different manufacturers to exchange data. 128 unique 7-bit strings stand for either a letter of the English alphabet, one of the Arabic numerals, one of an assortment of punctuation marks and symbols, or a special function, such as the carriage return.

1964

Simultaneous work on secure packet switching networks is taking place at MIT, the RAND Corporation, and the National Physical Laboratory in Great Britain. Paul Baran, Donald Davies, Leonard Kleinrock, and others proceed in parallel research. Baran is one of the first to publish, On Data Communications Networks. Kleinrock’s thesis is also published as a seminal text on queuing theory.

IBM’s new System 360 computers come onto the market and set the de facto worldwide standard of the 8-bit byte, making the 12-bit and 36-bit word machines almost instantly obsolete. The $5 billion investment by IBM into this family of six mutually compatible computers pays off, and within two years orders for the System 360 reach 1,000 per month.

On-line transaction processing debuts with IBM’s SABRE air travel reservation system for American Airlines. SABRE (Semi-Automatic Business Research Environment) links 2,000 terminals in sixty cities via telephone lines.

Licklider leaves ARPA to return to MIT, and Ivan Sutherland moves to IPTO. With IPTO funding, MIT’s Project MAC acquires a GE-635 computer and begins the development of the Multics timesharing operating system.

1965

DEC unveils the PDP-8, the first commercially successful minicomputer. Small enough to sit on a desktop, it sells for $18,000 — one-fifth the cost of a low-end IBM/360 mainframe. The combination of speed, size, and cost enables the establishment of the minicomputer in thousands of manufacturing plants, offices, and scientific laboratories.\nWith ARPA funding, Larry Roberts and Thomas Marill create the first wide-area network connection. They connect the TX-2 at MIT to the Q-32 in Santa Monica via a dedicated telephone line with acoustic couplers. The system confirms the suspicions of the Intergalactic Network researchers that telephone lines work for data, but are inefficient, wasteful of bandwidth, and expensive. As Kleinrock predicts, packet switching offers the most promising model for communication between computers.

Late in the year, Ivan Sutherland hires Bob Taylor from NASA. Taylor pulls together the ideas about networking that are gaining momentum amongst IPTO’s computer-scientist contractors.

The ARPA-funded JOSS (Johnniac Open Shop System) at the RAND Corporation goes on line. The JOSS system permits online computational problem solving at a number of remote electric typewriter consoles. The standard IBM Model 868 electric typewriters are modified with a small box with indicator lights and activating switches. The user input appears in green, and JOSS responds with the output in black.

1966

Taylor succeeds Sutherland to become the third director of IPTO. In his own office, he has three different terminals, which he can connect by telephone to three different computer systems research sites around the nation. Why can’t they all talk together? His problem is a metaphor for that facing the ARPA computer research community.

Taylor meets with Charles Herzfeld, the head of ARPA, to outline his issues. Twenty-minutes later he has a million dollars to spend on networking. The idea is to link all the IPTO contractors. After several months of discussion, Taylor persuades Larry Roberts to leave MIT to start the ARPA network program.

Simultaneously, the English inventor of packet switching, Donald Davies, is theorizing at the British National Physical Laboratory (NPL) about building a network of computers to test his packet switching concepts.

Honeywell introduces the DDP-516 minicomputer and demonstrates its ruggedness with a sledgehammer. This catches Roberts' eye.

1967

Larry Roberts convenes a conference in Ann Arbor, Michigan, to bring the ARPA researchers together. At the conclusion, Wesley Clark suggests that the network be managed by interconnected ‘Interface Message Processors’ in front of the major computers. Called IMPs, they evolve into today’s routers.

Roberts puts together his plan for the ARPANET. The separate strands of investigation begin to converge. Donald Davies, Paul Baran, and Larry Roberts become aware of each other’s work at an ACM conference where they all meet. From Davies, the word ‘packet’ is adopted and the proposed line speed in ARPANET is increased from 2.4 Kbps to 50 Kbps.

The acoustically coupled modem, invented in the early sixties, is vastly improved by John van Geen of the Stanford Research Institute (SRI). He introduces a receiver that can reliably detect bits of data amid the hiss heard over long-distance telephone connections.

1968

Roberts and the ARPA team refine the overall structure and specifications for the ARPANET. They issue an RFQ for the development of the IMPs.

At Bolt, Beranek and Newman (BBN), Frank Heart leads a team to bid on the project. Bob Kahn plays a major role in shaping the overall BBN designs. BBN wins the project in December.

Roberts works with Howard Frank and his team at Network Analysis Corporation designing the network topology and economics. Kleinrock’s team prepares the network measurement system at UCLA, which is to become the site of the first node.

The ILLIAC IV, the largest supercomputer of its time, is being built at Burroughs under a NASA contract. More than 1,000 transistors are squeezed onto its RAM chip, manufactured by the Fairchild Semiconductor Corporation, yielding 10 times the speed at one-hundredth the size of equivalent core memory. ILLIAC-IV will be hooked to the ARPANET so that remote scientists can have access to its unique capabilities.

1969

Frank Heart puts a team together to write the software that will run the IMPs and to specify changes in the Honeywell DDP- 516 they have chosen. The team includes Ben Barker, Bernie Cosell, Will Crowther, Bob Kahn, Severo Ornstein, and Dave Walden.

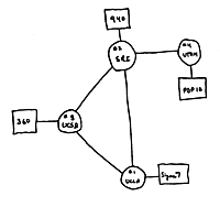
Four sites are selected. At each, a team gets to work on producing the software to enable its computers and the IMP to communicate. At UCLA, the first site, Vint Cerf, Steve Crocker, and Jon Postel work with Kleinrock to get ready. On April 7, Crocker sends around a memo entitled ‘Request for Comments.’ This is the first of thousands of RFCs that document the design of the ARPANET and the Internet.

The team calls itself the Network Working Group (RFC 10), and comes to see its job as the development of a ‘protocol,’ the collection of programs that comes to be known as NCP (Network Control Protocol).

The second site is the Stanford Research Institute (SRI), where Doug Engelbart saw the ARPA experiment as an opportunity to explore wide-area distributed collaboration, using his NLS system, a prototype ‘digital library.’ SRI supported the Network Information Center, led by Elizabeth (Jake) Feinler and Don Nielson.

At the University of California, Santa Barbara (UCSB) Glen Culler and Burton Fried investigate methods for display of mathematical functions using storage displays to deal with the problem of screen refresh over the net. Their investigation of computer graphics supplies essential capabilities for the representation of scientific information.

After installation in September, handwritten logs from UCLA show the first host-to-host connection, from UCLA to SRI, is made on October 29, 1969. The first 'Log-In' crashes the SRI host, but the next attempt works!